loading
38820-59-6(X-6); 53473-28-2(6-K)
| 状态: | |
|---|---|
|
| |
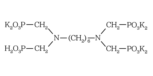
己二胺四甲叉膦酸钾盐(HDTMPA·K6)
产品名称 | 己二胺四甲叉膦酸钾盐(HDTMPA·K6)
| 分子结构 |
|
别 名 | 己二胺四亚甲基膦酸钾盐 | ||
CAS 号 | 38820-59-6(X-6) 53473-28-2(6-K) | ||
分子式 | C10H22N2O12P4K6 | ||
检测项目 | 指标值 | ||
外 观 | 无色至微黄色透明液体 | ||
活性组分(以酸计) % | 21.2-24.6 | ||
活性组分(以盐计) % | 31.0-36.0 | ||
氯化物 (以Cl-计)% ≤ | 4.0 | ||
总磷含量(以 PO43-计) % ≥ | 16.0 | ||
Fe(以Fe2+计)含量ppm ≤ | 35.0 | ||
密度(20℃)g/cm3 | 1.21-1.31 | ||
pH(1%水溶液) | 6.0-8.0 | ||
包装:HDTMPA•K6用塑料桶包装,每桶30kg或250kg,或根据用户需求确定。
用途:HDTMPA•K6具有很高的溶解度,可阻止水中成垢盐类形成水垢,是良好的硫酸钙阻垢剂,尤其适用高碱高pH条件。HDTMPA•K6特别适应于锅炉水处理、反渗透膜的阻垢剂。
己二胺四甲叉膦酸钾盐(HDTMPA·K6)
产品名称 | 己二胺四甲叉膦酸钾盐(HDTMPA·K6)
| 分子结构 |
|
别 名 | 己二胺四亚甲基膦酸钾盐 | ||
CAS 号 | 38820-59-6(X-6) 53473-28-2(6-K) | ||
分子式 | C10H22N2O12P4K6 | ||
检测项目 | 指标值 | ||
外 观 | 无色至微黄色透明液体 | ||
活性组分(以酸计) % | 21.2-24.6 | ||
活性组分(以盐计) % | 31.0-36.0 | ||
氯化物 (以Cl-计)% ≤ | 4.0 | ||
总磷含量(以 PO43-计) % ≥ | 16.0 | ||
Fe(以Fe2+计)含量ppm ≤ | 35.0 | ||
密度(20℃)g/cm3 | 1.21-1.31 | ||
pH(1%水溶液) | 6.0-8.0 | ||
包装:HDTMPA•K6用塑料桶包装,每桶30kg或250kg,或根据用户需求确定。
用途:HDTMPA•K6具有很高的溶解度,可阻止水中成垢盐类形成水垢,是良好的硫酸钙阻垢剂,尤其适用高碱高pH条件。HDTMPA•K6特别适应于锅炉水处理、反渗透膜的阻垢剂。